in

Understanding the Kelly Criterion in Gambling

about Kelly Criterion

Gambling is as much about strategy as it is about luck. Whether playing poker, betting on sports, or rolling the dice at the casino, one of your biggest challenges is deciding how much to bet. Should you go all-in or play it safe? This decision can mean distinguishing between walking away a winner or losing it all.

Meet the Kelly Criterion, a mathematical formula hailed as a game-changer for gamblers. Developed in the 1950s by John L. Kelly Jr., a scientist at Bell Labs, the Kelly Criterion offers a systematic way to determine the optimal size of a bet. But how exactly does it work, and can it really tip the odds in your favor?

In this article on Casinoz, we’ll explore the Kelly Criterion's principles, advantages, and limitations.

The Basics of the Kelly Criterion

The Kelly Criterion is a mathematical formula that helps gamblers and investors determine the optimal size of a bet or investment to maximize growth over time.

At its core, the Kelly Criterion isn't just about winning individual bets but about ensuring long-term success by carefully managing risk and reward.

What is the Kelly Criterion?

The Kelly Criterion is a strategy that tells you exactly how much of your bankroll to wager on a given bet based on the odds and your probability of winning. Unlike betting strategies that might focus on maximizing immediate returns or minimizing losses, the Kelly Criterion seeks to strike a balance by suggesting a bet size that maximizes your potential long-term growth.

This formula is particularly useful in situations where you have a positive expected value, meaning the odds are in your favor, and you have a higher probability of winning than losing.

When used correctly, the Kelly Criterion helps you to bet neither too much (which could wipe you out with a single loss) nor too little (which could slow your growth).

Historical Context: The Origins of the Kelly Criterion

The Kelly Criterion was introduced by John L. Kelly Jr., a researcher at Bell Labs, in 1956. Kelly developed the formula to address a problem in information theory—specifically, how to optimize data transmission over a noisy channel. However, the practical applications of the Kelly Criterion quickly extended beyond telecommunications.

Gamblers, in particular, were drawn to the Kelly Criterion because of its promise to maximize long-term wealth. Famous investors like Warren Buffett and Bill Gross have also credited the Kelly Criterion with influencing their investment strategies. Over the years, it has become a popular tool not just in gambling but also in finance, where it's used to determine the optimal allocation of assets in a portfolio.

Why the Kelly Criterion Matters

The Kelly Criterion has gained such popularity because it offers a clear and rational way to approach gambling and investing. By using this formula, you can avoid the common pitfalls of overbetting, which can lead to catastrophic losses, and underbetting, which can result in missed opportunities.

In essence, the Kelly Criterion is about discipline and precision. It takes the guesswork out of betting by providing a scientifically grounded method for deciding how much to wager. When applied correctly, it can help you achieve steady, sustainable growth, whether you're sitting at a poker table or managing a stock portfolio.

The Formula and How It Works

To truly grasp the power of the Kelly Criterion, it’s essential to understand the formula in detail and how it can be applied in practical scenarios. This section will break down the formula step by step and provide a clear example of how it works in a typical gambling situation.

Breaking Down the Kelly Criterion Formula

The Kelly Criterion formula is designed to calculate the optimal fraction of your bankroll to wager on a bet. Here’s the formula.

Kelly Criterion formula

​ Let’s break it down:

  • f: This is the fraction of your total bankroll that you should bet. If f equals 0.1, for example, you should bet 10% of your bankroll on that particular bet.
  • b: This represents the odds you’ll receive on the bet, expressed in decimals. For instance, if you’re betting on a horse race and the horse’s odds are 3:1, then 𝑏 b would be 3.
  • p: This is the probability that your bet will win. For example, if you believe there’s a 60% chance your bet will win, then 𝑝 p would be 0.6.
  • q: This is the probability of losing the bet, which is simply 1 − 𝑝 1−p. In our example, if 𝑝 p is 0.6, then 𝑞 q would be 0.4.

The formula essentially calculates how much you should bet to maximize the growth of your bankroll over time, considering both the odds and your perceived probability of winning.

Example Calculation: Applying the Kelly Criterion

Let’s walk through a practical example to see how the Kelly Criterion works.

Scenario: You’re betting on a football game where your team is given 2:1 odds (b = 2). You believe your team has a 70% chance of winning (p = 0.7).

Step 1: First, calculate the value of q.

Kelly Criterion calculation

Step 2: Next, plug the values into the Kelly Criterion formula.

Kelly Criterion calculation

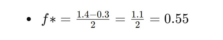
Step 3: Simplify the equation.

Kelly Criterion calculation

Result: According to the Kelly Criterion, you should wager 55% of your bankroll on this bet.

This might seem like a large percentage, but remember that the Kelly Criterion is designed to maximize long-term growth, assuming your probability estimates are accurate and the bet is repeated over time.

Interpreting the Result

The fraction calculated by the Kelly Criterion tells you how much of your bankroll you should risk to optimize your long-term gains. In our example, betting 55% of your bankroll reflects your confidence in your team’s chances and the favorable odds.

However, it’s important to note that the Kelly Criterion is sensitive to the accuracy of your probability estimates. If your estimation of the winning probability (p) is off, the formula might suggest a bet size that’s either too aggressive or too conservative.

What if the Kelly Criterion Suggests Betting a Large Fraction?

When using the Kelly Criterion, it’s not uncommon for the calculated fraction to seem large, especially when the odds are significantly in your favor. While the formula theoretically maximizes your long-term bankroll growth, betting such a high percentage might not align with your personal risk tolerance.

In practice, many gamblers and investors opt to use a fractional Kelly strategy, where they bet a smaller percentage of what the Kelly Criterion suggests (e.g., half or a quarter of 𝑓 ∗ f∗). This approach reduces potential volatility while still aiming for growth.

Advantages of Using the Kelly Criterion

The Kelly Criterion is widely regarded as one of the most effective strategies for optimizing bet sizing in gambling and investment. Its primary strength lies in its ability to balance risk and reward, making it a powerful tool for maximizing long-term wealth. Here, we'll delve into the key advantages of using the Kelly Criterion.

Optimized Betting for Long-Term Growth

One of the most significant advantages of the Kelly Criterion is its focus on long-term growth rather than short-term gains. Unlike other betting strategies that might encourage either aggressive betting or extreme caution, the Kelly Criterion strikes a balance. It suggests a bet size that maximizes the expected growth rate of your bankroll over time, ensuring that you steadily build wealth without taking on unnecessary risks.

  • Maximization of Wealth: By betting according to the Kelly Criterion, you ensure that your bankroll grows at the fastest possible rate. The strategy is designed to capitalize on positive expected value bets, allowing you to make the most of favorable odds.
  • Avoidance of Ruin: The Kelly Criterion inherently protects you from the risk of ruin by discouraging overly aggressive bets that could wipe out your bankroll. It ensures that you never bet too much, preserving your ability to continue betting even after a loss.

Risk Management

Another significant benefit of the Kelly Criterion is its emphasis on risk management. The formula is structured to minimize the likelihood of catastrophic losses, making it particularly appealing for risk-averse gamblers and investors.

  • Controlled Exposure: The Kelly Criterion limits your exposure to any single bet, ensuring that you don’t risk more than a calculated fraction of your bankroll. This controlled exposure helps manage the inherent risks of gambling, especially in volatile markets or games of chance.
  • Preservation of Capital: The Kelly Criterion helps you preserve your capital by avoiding too-large bets. This preservation is crucial in gambling and investing, where maintaining a bankroll or portfolio is necessary to continue playing the game and compounding your wealth over time.

Objective and Rational Decision-Making

The Kelly Criterion brings a level of objectivity to gambling and investing that can be difficult to achieve otherwise. It replaces emotional decision-making with a clear, rational strategy based on mathematical principles.

  • Elimination of Bias: Since the Kelly Criterion is formula-driven, it removes much of the emotional bias that can cloud judgment. Whether you’re overconfident in a particular bet or overly cautious, the Kelly Criterion provides a neutral, objective perspective on how much to wager.
  • Consistency: The Kelly Criterion promotes consistent betting behavior. By following the formula, you maintain a disciplined approach to betting, avoiding erratic changes in bet size that could lead to suboptimal results.

Flexibility Across Different Scenarios

While originally developed for gambling, the Kelly Criterion’s versatility makes it applicable in various contexts, including financial investments.

  • Application in Investments: Investors use the Kelly Criterion to determine the optimal allocation of assets in a portfolio. By applying the formula, they can decide how much to invest in each asset to maximize portfolio growth while managing risk.
  • Adaptation to Different Games: The Kelly Criterion can be adapted to various gambling scenarios, from sports betting to casino games. Its principles remain consistent across different games, making it a universally applicable strategy for any situation where probabilities and odds are known.

Compound Growth

The Kelly Criterion takes advantage of compound growth, where gains are reinvested to generate further gains. By maximizing the growth rate of your bankroll, the Kelly Criterion allows you to take full advantage of the power of compounding.

  • Exponential Growth: Over time, even small advantages can lead to significant wealth accumulation when compounded. The Kelly Criterion optimizes your bet sizes to ensure that you’re making the most of your winning streaks and minimizing the impact of losses, leading to exponential growth in your bankroll.

Criticisms and Limitations

While the Kelly Criterion is a powerful tool for optimizing bet sizes and managing risk, it has criticisms and limitations. Understanding these drawbacks is crucial for anyone considering the Kelly Criterion in gambling or investing.

Here, we’ll explore this strategy's key challenges and potential pitfalls.

Fluctuations in Bankroll

One of the primary criticisms of the Kelly Criterion is its potential to cause significant fluctuations in your bankroll, especially in the short term. Since the formula suggests betting a percentage of your bankroll based on the perceived advantage, it can sometimes recommend relatively large bets.

  • Volatility: The Kelly Criterion can lead to large swings in your bankroll, particularly if you encounter a streak of bad luck. Even though the strategy is designed to maximize long-term growth, these short-term fluctuations can be stressful and may lead some gamblers to abandon the strategy prematurely.
  • Emotional Impact: Large fluctuations can also have a psychological impact. Seeing your bankroll drop significantly after a losing streak might tempt you to deviate from the strategy or take unnecessary risks to recover losses.

Estimation Errors

The accuracy of the Kelly Criterion heavily relies on the correctness of your probability estimates. If you misjudge the probability of winning a bet (the 𝑝 p value), the formula could suggest an inappropriate bet size.

  • Inaccurate Probabilities: If your estimate of the probability of winning is too optimistic, the Kelly Criterion might recommend betting too much of your bankroll, increasing the risk of significant losses. Conversely, if your estimate is too conservative, you might miss out on maximizing your gains.
  • Difficulty in Estimation: Accurately estimating probabilities can be challenging, especially in complex games or investment scenarios where there are many variables to consider. The Kelly Criterion assumes that you have a precise understanding of the odds, which isn’t always the case in real-world situations.

Overbetting and Underbetting

The Kelly Criterion is designed to maximize long-term growth, but if applied incorrectly, it can lead to overbetting or underbetting, both of which can be detrimental.

  • Overbetting Risk: If you overestimate your edge, the Kelly Criterion might suggest a bet size that’s too large, putting you at risk of losing a significant portion of your bankroll in a single bet. This risk is particularly high in scenarios where the odds are volatile or uncertain.
  • Underbetting Consequences: On the other hand, if you underestimate your edge, the Kelly Criterion will suggest a smaller bet size, which means you’re not fully capitalizing on favorable situations. While this is safer, it can slow down the growth of your bankroll over time.

Not Suitable for All Betting Styles

The Kelly Criterion assumes that you’re making repeated bets over time, with each bet being a fraction of your total bankroll. However, this strategy might not suit all types of gamblers or investors.

  • One-Time Bets: The Kelly Criterion is less effective for one-time or infrequent bets, with limited opportunity to compound gains. In such cases, a different strategy might be more appropriate.
  • High-Risk Gamblers: For gamblers who prefer high-risk, high-reward bets, the conservative approach of the Kelly Criterion might not align with their style. These gamblers might find the suggested bet sizes too small and the strategy too cautious for their taste.
  • Small Bankrolls: For those with small bankrolls, the Kelly Criterion might recommend bet sizes that seem impractically small, especially in situations where the edge is minimal. In these cases, the formula's practical application might be limited.

Complicated Implementation

While the Kelly Criterion is mathematically straightforward, its practical implementation can be complex, particularly in dynamic environments like financial markets.

  • Complex Calculations: When odds and probabilities constantly change, calculating the optimal bet size using the Kelly Criterion can become complicated and time-consuming. This complexity might discourage some from using the strategy consistently.
  • Data Requirements: Effectively implementing the Kelly Criterion requires access to accurate data on odds and probabilities, which may not always be readily available. For instance, in financial markets, the required data might be difficult to obtain or interpret correctly.

Fractional Kelly as a Solution

To address some of these limitations, many gamblers and investors opt for a fractional Kelly strategy, where they bet only a fraction (e.g., half or a quarter) of the amount suggested by the Kelly Criterion.

  • Reduced Volatility: Fractional Kelly helps mitigate the risk of large fluctuations in your bankroll, providing a smoother growth curve with less dramatic ups and downs.
  • Lower Risk of Overbetting: By betting less than the full Kelly amount, you reduce the risk of overbetting due to estimation errors or inaccurate odds. This approach offers a more conservative way to benefit from the Kelly Criterion while managing risk.

Understanding the Kelly Criterion's strengths and limitations will help you decide when and how to use this strategy effectively.

Practical Tips for Implementing the Kelly Criterion

The Kelly Criterion is a powerful strategy, but its effectiveness hinges on how well it’s implemented. Whether you’re a gambler looking to maximize your winnings or an investor aiming for steady portfolio growth, following these practical tips can help you apply the Kelly Criterion successfully.

1. Start with Accurate Probability Estimates

The Kelly Criterion is only as good as the probability estimates you input. The accuracy of these estimates is crucial because the formula relies on them to determine the optimal bet size.

  • Research Thoroughly: Take the time to research and gather data to make informed estimates. Whether you’re betting on sports, playing a casino game, or investing in stocks, understanding the factors that influence outcomes is key to making accurate predictions.
  • Use Historical Data: When possible, base your estimates on historical data rather than intuition. For instance, in sports betting, analyze past performances, player statistics, and other relevant data to assess the probability of winning.
  • Be Conservative: If you’re unsure about the accuracy of your estimates, it’s often better to be conservative. Overestimating your chances of winning can lead to larger-than-optimal bets, which increases the risk of significant losses.

2. Consider Using Fractional Kelly

While the full Kelly Criterion aims to maximize long-term growth, it can be aggressive, especially in volatile markets or games. Many gamblers and investors choose to use a fractional Kelly approach to reduce risk.

  • Lower Volatility: By betting or investing a fraction of what the Kelly Criterion suggests—such as half or a quarter—you reduce the volatility of your bankroll or portfolio. This approach smooths out the ups and downs, making it easier to stick with the strategy over time.
  • Find Your Comfort Level: The optimal fraction to use depends on your risk tolerance. If you’re more risk-averse, you might choose a smaller fraction, such as 0.25 Kelly, while those with a higher risk tolerance might opt for 0.5 Kelly.

3. Regularly Recalculate Bet Sizes

The Kelly Criterion is dynamic, meaning that the recommended bet size changes as your bankroll grows or shrinks and as the odds and probabilities shift.

  • Recalculate After Each Bet: To fully benefit from the Kelly Criterion, recalculate your bet size after every bet. This ensures that your strategy adapts to changes in your bankroll and the odds of future bets.
  • Adjust for New Information: As new information becomes available (e.g., changes in market conditions, player injuries, or new investment data), update your probability estimates and recalculate the optimal bet size accordingly.

4. Manage Emotional and Psychological Factors

Implementing the Kelly Criterion requires discipline, especially when facing losses or periods of poor performance. Managing the emotional and psychological aspects of gambling or investing is crucial for sticking to the strategy.

  • Stay Disciplined: Following the Kelly Criterion formula consistently, even during losing streaks, is important. Deviating from the strategy due to emotional reactions can lead to suboptimal decisions.
  • Set Limits: Establish clear guidelines for when to stop betting or investing, particularly if you hit a predetermined loss limit. This can prevent you from chasing losses or making rash decisions.
  • Review Performance: Regularly review your performance to assess whether your probability estimates and bet sizes are accurate. This can help you refine your strategy and stay focused on long-term growth.

5. Combine with Other Strategies

The Kelly Criterion is a valuable tool but doesn’t have to be used in isolation. Combining it with other strategies can enhance its effectiveness.

  • Diversification: In investing, combine the Kelly Criterion with diversification strategies to spread risk across multiple assets. This can help protect your portfolio from market volatility and reduce the impact of poor individual bets or investments.
  • Hedging: Consider hedging your bets to protect against potential losses in gambling or investing. For instance, if you’re betting on a sports team, you might hedge by placing a smaller bet on the opposing team to minimize losses if your main bet doesn’t win.
  • Risk Management Tools: Use risk management tools, such as stop-loss orders in trading or setting maximum loss limits in gambling, to protect your bankroll or portfolio from significant downturns.

6. Understand the Limits of the Kelly Criterion

Finally, it’s important to recognize that the Kelly Criterion isn’t a guaranteed path to success. Understanding its limitations can help you use it more effectively.

  • Not Foolproof: The Kelly Criterion assumes that your probability estimates are accurate and that the odds are favorable. If these assumptions are incorrect, the strategy might not perform as expected.
  • Market and Game Dynamics: Conditions can change rapidly in dynamic environments like financial markets or competitive gambling scenarios. The Kelly Criterion doesn’t account for sudden shifts, so it’s important to stay adaptable and be prepared to adjust your strategy.
  • Short-Term Fluctuations: While the Kelly Criterion focuses on long-term growth, it doesn’t eliminate short-term fluctuations. Be prepared for periods of volatility, and don’t abandon the strategy during temporary downturns.

The Kelly Criterion is a powerful and mathematically sound strategy for optimizing bet sizes and managing risk, both in gambling and investing. By carefully applying the formula and following the practical tips outlined above, you can maximize your long-term growth while minimizing the risks of large bets or investments.

However, the effectiveness of the Kelly Criterion ultimately depends on your ability to estimate probabilities accurately, manage emotional factors and adapt the strategy to your specific circumstances. Whether at the casino or managing a portfolio, the Kelly Criterion offers a disciplined approach to decision-making that can lead to significant success over time.

You can try the Kelly Criterion while playing various games at the following online casinos.

Casino Withdrawal methods Accepted currencies
VISA
Cheque
Bank Transfer
+5
$, €, ₽, M, Br, R$, Ft, Rs., KZT, C$, kr, zł, L, UZS, ₴, ¥, лв, YTL, ₩
VISA
Bank Transfer
Skrill
+3
€, ₽, R$, zł, kr
VISA
Bank Transfer
Skrill
+6
$, €, ₽, ₴
VISA
Skrill
Neteller
+3
$, €, ₽, KZT
VISA
Bank Transfer
Skrill
+3
$, €, ₽, R$, Rs., C$, zł

Final Thoughts

The Kelly Criterion offers a systematic, mathematically grounded approach to betting and investing that can significantly enhance long-term growth. However, like any strategy, it’s not without its challenges. Understanding its principles, applying them correctly, and knowing the limitations are crucial for success.

If you’re looking for a strategy combining the potential for high returns with robust risk management, the Kelly Criterion might be the right choice. Whether placing bets at the casino, managing an investment portfolio, or making business decisions, the Kelly Criterion provides a disciplined framework to help you achieve your financial goals.

Ultimately, the decision to use the Kelly Criterion depends on your individual risk tolerance, financial objectives, and comfort with the strategy’s inherent complexities. By carefully considering these factors, you can determine whether the Kelly Criterion aligns with your approach to gambling or investing and, if so, how to implement it effectively for optimal results.

Frequently asked Questions

📝 What is the Kelly Criterion?

The Kelly Criterion is a mathematical formula used to determine the optimal size of a series of bets or investments to maximize long-term growth while managing risk. It calculates the ideal proportion of your bankroll to wager based on the probability of winning and the odds offered.

🎲 Is the Kelly Criterion only for gambling?

The Kelly Criterion is also widely used in investing and financial markets. Investors use it to allocate capital across different assets, maximizing portfolio growth while managing risk. It’s applicable in any scenario where decisions involve balancing risk and reward, such as stock market investing, portfolio management, and business ventures.

💲 What are the main advantages of using the Kelly Criterion?

Maximized Growth: The Kelly Criterion is designed to maximize long-term growth of your bankroll or portfolio. Risk Management: It naturally limits the amount you risk on each bet, reducing the likelihood of significant losses. Mathematically Proven: The Kelly Criterion has a solid mathematical foundation, making it a reliable strategy for long-term wealth accumulation.

❔ What are the limitations of the Kelly Criterion?

Accuracy Dependence: The strategy heavily relies on accurate probability estimates. Inaccurate estimates can lead to inappropriate bet sizes. Volatility: The Kelly Criterion can lead to significant fluctuations in your bankroll, especially if applied aggressively. Complexity: For some, the calculations and regular adjustments required by the Kelly Criterion can be complex and time-consuming.

📃 What is Fractional Kelly, and why might I use it?

Fractional Kelly involves betting a fraction of what the full Kelly Criterion recommends (e.g., half-Kelly or quarter-Kelly). This approach reduces the volatility of your bankroll and the risk of large losses, making it a more conservative strategy. It’s often used by those with lower risk tolerance or in highly volatile environments.

🤔 How do I estimate probabilities accurately for the Kelly Criterion?

Accurate probability estimation is crucial. You can estimate probabilities using historical data, statistical analysis, and expert knowledge. For example, consider past performances, player statistics, and other relevant factors in sports betting. In investing, analyze market data, economic indicators, and financial reports.

🙋‍♂️ Can the Kelly Criterion be used for one-time bets?

The Kelly Criterion is most effective for repeated bets or investments where the outcomes are independent and there’s a long-term perspective. It might not be as useful for one-time bets, as the strategy’s strength lies in compounding returns over multiple rounds.

🤚 Should I always follow the Kelly Criterion strictly?

The Kelly Criterion is a guideline, not a rule, that must be followed strictly. You may choose to adjust the strategy depending on your risk tolerance, financial goals, and market conditions. Many people opt for a fractional Kelly approach to reduce risk and smooth out volatility. It’s important to adapt the strategy to your specific needs and circumstances.

👈 What are some common mistakes when using the Kelly Criterion?

Overestimating Probabilities: This can lead to betting too much, increasing the risk of significant losses. Ignoring Market or Game Dynamics: Not accounting for changes in odds or market conditions can result in suboptimal decisions. Emotional Reactions: Deviating from the strategy due to emotions, such as after a losing streak, can undermine its effectiveness.

Denis Anipchenko
Denis Anipchenko
Editor-in-chief and online gambling expert

Denis is a true professional with many years of experience in the gambling industry. His career started back in the late nineties when he worked as a croupier, pit boss, manager and casino manager. This unique experience allowed him to deeply understand the world of gambling from the inside. Since the late noughties Denis has dedicated himself to writing articles and analyses about gambling, and since the early tens he has become a key figure in the Casinoz team. Here he not only writes and edits content, but also creates reviews, shares his expertise and helps readers understand the intricacies of gambling. Denis combines practical experience and in-depth knowledge, making him one of the most respected experts in the industry. His writings are always up-to-date, proven and useful information for anyone interested in the casino world.

An expert in:
  • casino operations
  • management
  • gambling analytics
  • RTP
  • volatility
  • regulation
  • trends
  • reviews
  • editorial
  • expertise
Facts checked Alex Vasilev Scientific editor and fact checker
Write a comment
Typed 0 synbols, min 50, max 2000
Rate
You rated
0/10